首页
未分类
随手拍列表页
随手拍
食药监食药安全宣传
全部
首页
未分类
随手拍列表页
随手拍
随手拍黄石
随手拍武汉
随手拍襄阳
随手拍荆州
随手拍宜昌
随手拍黄冈
随手拍鄂州
随手拍十堰
随手拍孝感
随手拍荆门
随手拍咸宁
随手拍随州
随手拍恩施州
随手拍神农架林区
随手拍仙桃
随手拍天门
随手拍潜江
食药监食药安全宣传
老实人办良心企业
政府发文
企业亮诺
企业先锋
食美药安荆楚行
荆楚行新闻报道
双安双创
政府公告
双安政府发文
双安新闻报道
犯罪典型案例
案例新闻
案例公告
安全科普
科普周
科普月
科普视频
科普辟谣
科普公告
禁毒宣传
活动视讯
禁毒活动视讯
禁毒模范人物
禁毒媒体聚焦
测试页面
测试内容JSON
食事要闻
政策法规
登录
登录长江云平台账号
×
邮箱/手机号
密码
验证码
下次自动登录
忘记密码?
登录
还没账号?
立即注册
其它登录方式
QQ登录
新浪登录
微信登录
点击头像快速登录
切换账号
个人中心
云账号设置
退出登录
老实人办企业
荆楚行
随手拍
双安双创
投诉举报
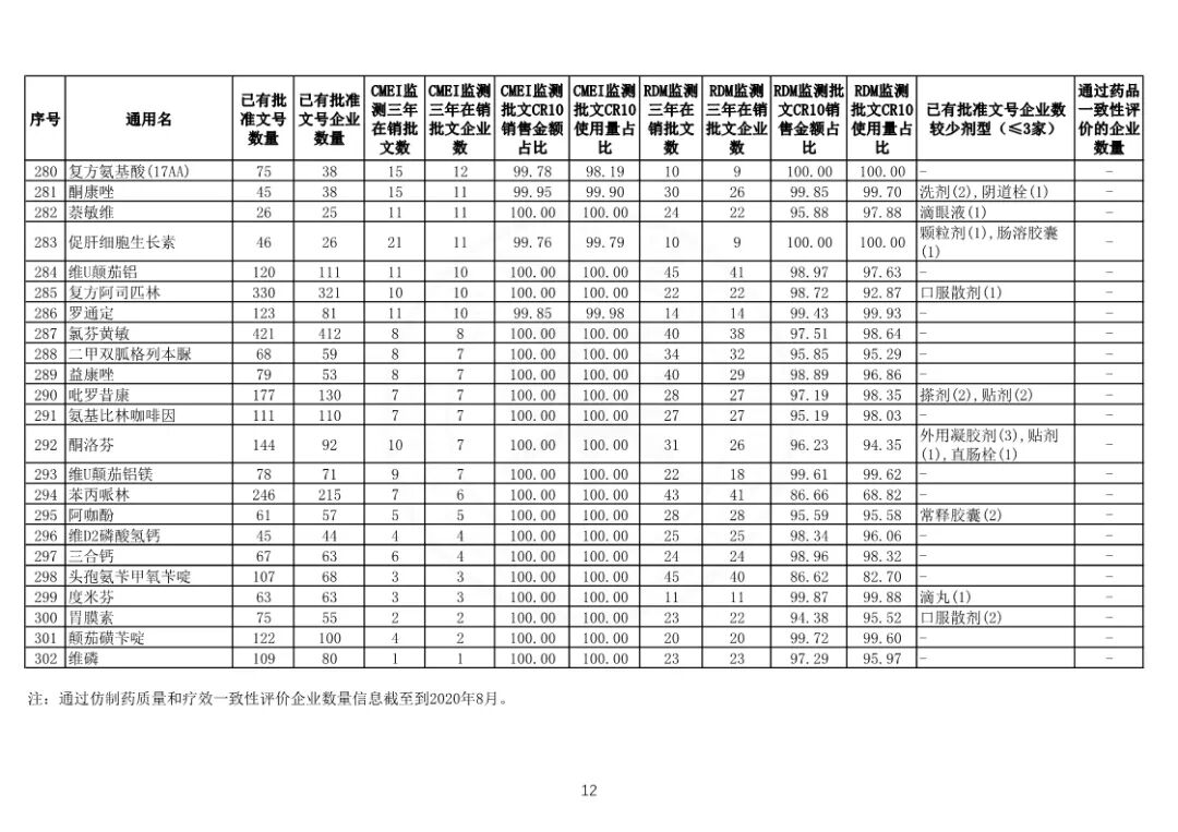
302个品种!第六批过度重复药品目录公布
2020-09-10 10:04
湖北省食品药品监督管理局
0
附件:
来源:中国药学会
点赞 0
发长微博
相关阅读
「科普」消食药最多吃7天
「科普」怎么判断药物是否变质?一看便知
湖北省药监局宜昌分局四项措施推动“两法”竞赛工作
湖北省医疗器械质量监督检验研究院召开院党委扩大会议专题研究部署意识形态、全面从严治党工作
湖北省市场监管局、卫健委、药监局联合召开全省疫苗安全管理工作视频会